Study population
The study population included participants from the population-based cohorts SCAPIS22, SIMPLER23 and MOS24.
SCAPIS
SCAPIS enrolled 30,154 women and men aged 50–65 invited from a random sample of residents in areas adjacent to six academic hospitals in Sweden between 2013 and 201822. Participation in SCAPIS entailed two visits to the test sites. In the Uppsala and Malmö sites, participants were provided with material and instructions to collect a fecal sample at home close to the second visit, store it in the home freezer and bring the sample at the second visit. The median interval between visits was 9 days. Participants who did not provide a fecal sample at the second visit were allowed to deliver it later. The date of sampling was not consistently recorded. In total, 9,159 fecal samples were delivered to the test center by the second visit, 244 were delivered ≤7 days after the second visit, and additional 165 samples were delivered >7 days after the second visit. The delivery date was missing for 248 samples, which were assumed to have been delivered at the second visit. Participants also answered an extensive questionnaire on lifestyle, diet and health history. Data on sex were obtained from the Swedish population register. Blood samples were collected and anthropometric measurements were conducted at the test centers. Non-antibiotic medication use was derived from NPDR. PPIs are also sold without a prescription in Sweden, but in smaller packages and for a higher price. Therefore, it can be assumed that most long-term PPI users have a prescription. Besides self-reported doctor diagnoses, the diagnoses of chronic obstructive pulmonary disease, chronic bronchitis and emphysema were attributed to participants with the ICD-10 codes J41, J42, J43 and J44, respectively, in the National Patient Register.
SIMPLER
The Swedish Mammography Cohort, initiated in 1987, and the Cohort of Swedish Men, initiated in 1997, are two prospective cohorts in central Sweden that constitute SIMPLER23. All women identified in the Swedish population register living in Uppsala and Västmanland counties between 1987 and 1990 and born between 1914 and 1948 were invited to the Swedish Mammography Cohort. Similarly, men identified in the population register who were living in Västmanland and Örebro counties in 1997 and born between 1918 and 1952 were invited to participate in the Cohort of Swedish Men23. In total, 2,843 women and 3,046 men provided fecal samples between 2012 and 2018. Because fecal samples were analyzed together, using the same procedures, and the phenotype data had been harmonized by SIMPLER, we pooled data from the two cohorts. Participants received via mail the material and instructions to collect a fecal sample at home close to the date of the health examination at the test center. At the time of fecal sampling, participants answered a questionnaire that included questions on smoking and physical activity and a food frequency questionnaire. In cases when smoking was not reported, the most recent smoking information was used, which could be the questionnaire in 2009 or 2019. Anthropometric measurements were performed at the health examination. The comorbidities diagnoses were obtained using the National Patient Register. Medication use was defined as a prescription in the NPDR in the year before fecal sampling.
MOS
MOS24 includes the adult children and grandchildren of the population-based Malmö Diet and Cancer-Cardiovascular Cohort participants64. The recruitment occurred between 2013 and 2021. After the exclusion of 39 participants who were also part of SCAPIS, the present study included 2,223 participants enrolled until April 2017 whose fecal samples were analyzed with shotgun metagenomics and passed quality control. Information on comorbidities was self-reported. As in SCAPIS, participants in MOS were instructed to collect the fecal samples at home with the material provided and bring the sample to the test center on the second visit. Participants who did not provide a fecal sample at the second visit could provide a sample at a later time. Similar to SCAPIS, the date of sampling was not consistently recorded in MOS. In total, 1,573 samples were delivered by the second visit, 73 were delivered in the 7 days following the second visit, and 10 were delivered >7 days after the second visit. For the 567 samples where the delivery data was missing, the date of the second visit was used as the delivery date. Lifestyle, diet, health history and comorbidities were assessed using questionnaires. Sex information was retrieved from the Swedish population register. Anthropometric measurements and blood sample collection were performed during the visit to the test center. Medication use was defined as a prescription in NPDR in the last year or self-reported use in the latest week29. The retrieval of antipsychotic use information from the NPDR was not included in the ethical approval. Therefore, information on antipsychotic use was based exclusively on self-reports.
Exclusion criteria
The exclusion criteria included a test center visit before 1 July 2013 (that is, incomplete history of antibiotic use in the past 8 years), an antibiotic prescription in the 30 days before the test center visit, use of antibiotics to treat acne/rosacea or as prophylaxis for urinary tract infection at the time of fecal sampling (long-term antibiotic user), and diagnosis of chronic pulmonary disease (that is, chronic pulmonary obstructive disease, chronic bronchitis and emphysema) or IBD because these conditions often entail a recurrent need for antibiotics and may substantially alter the gut microbiome65,66. In SCAPIS, 25 participants who did not consent to the data linkage with registry data were excluded. Because the visit dates were available but not the exact date of fecal sampling, we excluded SCAPIS and MOS participants who (1) had an antibiotic prescription between the two visits, (2) provided fecal samples >7 days after the second visit or (3) had an interval of >60 days between visits, given the uncertainty about sample collection date.
Long-term medications are typically dispensed for three-month periods in Sweden. Therefore, we excluded all participants with a dispensed methenamine prescription (urinary infection prophylaxis) in the three months before the fecal sampling. Likewise, we excluded participants with dispensed nitrofurantoin or trimethoprim prescriptions in the 12 weeks before fecal sampling, summing to at least 22.5 defined daily doses (DDDs), which is equivalent to 50 mg and 100 mg, respectively, once a day for 12 weeks. To exclude long-term users of doxycycline for rosacea, we excluded all participants with a prescription of 40 mg of doxycycline tablets in the 12 weeks before the fecal sampling, all participants with one or more prescriptions of 100 mg of doxycycline tablets adding up to at least 84 DDDs in the last 12 weeks (equivalent to 100 mg per day for 12 weeks), at least 56 DDDs in the last 8 weeks or at least 42 DDDs in last 6 weeks. To exclude long-term users of tetracycline or lymecycline for rosacea, we excluded all participants with dispensed prescriptions adding up to at least 42 DDDs in the last 12 weeks (equivalent to 500 mg per day or 300 mg per day, respectively, for 12 weeks), at least 28 DDDs in the last 8 weeks or at least 21 DDDs in the last 6 weeks. The number of individuals excluded per criterion is provided in Extended Data Fig. 1.
Antibiotic exposure
All oral antibiotics dispensed to outpatients in Sweden require a prescription and are registered in the NPDR21. We retrieved information on all dispensed prescriptions with the Anatomical Therapeutic Chemical (ATC) code J01 (antibacterials for systemic use) and classified them as tetracyclines (J01A), extended-spectrum penicillins (J01CA), beta-lactamase-sensitive penicillins (J01CE), beta-lactamase-resistant penicillins (J01CF), penicillins combined with beta-lactamase inhibitors (J01CR), cephalosporins (J01DB, J01DC, J01DD), sulfonamides and trimethoprim (J01E), macrolides (J01FA), lincosamides (J01FF), fluoroquinolones (J01MA) and nitrofurantoin (J01XE01). In Sweden, amoxicillin with clavulanic acid was the only oral penicillin combination available, penicillin V was the only beta-lactamase-sensitive penicillin, flucloxacillin was the only beta-lactamase-resistant penicillin and clindamycin was the only lincosamide. The only extended-spectrum penicillins were amoxicillin and pivmecillinam. Antibiotic prescriptions were divided into three periods: <1 year, ≥1 and <4 years and ≥4 and <8 years before the fecal sampling.
Fecal metagenomics
In all three cohorts, participants were instructed to collect the fecal samples at home close to the date of the test center visit and to store the samples in the home freezer until the visit, after which the samples were stored at −80 °C.
SCAPIS and MOS fecal samples were sent to Cmbio (Copenhagen, Denmark) for DNA extraction and shotgun metagenomic sequencing10. DNA extraction was performed using NucleoSpin 96 Soil kits. Each round of extraction contained one negative and one positive control. Following DNA fragmentation and library preparation, sequencing was conducted with the Illumina NovaSeq6000 system. The average sequence depth was 25.3 million read pairs for SCAPIS samples from Uppsala and 26.3 million read pairs for SCAPIS samples from Malmö and MOS samples.
The fecal samples from SIMPLER were sent to the Centre for Translational Microbiome Research at the Karolinska Institute in Stockholm, Sweden. Before shipping, the samples were aliquoted into FluidX tubes containing 800 μl of DNA/RNA Shield buffer (R1100-250, Zymo Research). The DNA extraction was conducted with the MagPure Stool kit (Magen Biotechnology Co.) and included a bead-beating step in a FastPrep-96 at 1,600 rpm for 1 minute. One negative and one positive control were added to each batch. Library preparation was performed using the MGIEasy FS DNA Library Prep Set kit. The libraries were sequenced in MGI Tech Co (Latvia) using DNBseq 2 × 100 bp paired-end sequencing on the DNBSEQ G400 or T7 sequencing instrument (MGI Tech Co.). The average sequence depth was 51 million read pairs.
The metagenomic reads from all three cohorts were profiled by Cmbio using its Human Profiler (CHAMP) and delivered as relative abundance of species67. Briefly, reads that mapped to the human reference genome GRCh38.p14 were removed using Bowtie2 (v 2.4.2). The non-host reads were mapped to the Cmbio HMR05 gene catalog67 using BWA mem (v. 0.7.17). The relative abundance of each species was calculated based on the signature genes with observed read counts within the expected 99% quantile and normalized sample-wise so that the total abundance of all species summed to 100%. The expected 99% quantile of read counts was calculated for each gene based on a negative binomial distribution with a mean proportional to the effective gene length and dispersion as log2(effective gene length). The taxonomic annotation of species was performed using the Genome Taxonomy Database release 21468.
A rarefied species relative abundance table was produced by random sampling, without replacement, of 190,977 gene counts per sample in SCAPIS and MOS and 641,964 gene counts in SIMPLER. The diversity of microbiota species in each sample was assessed using the rarefied table to calculate three alpha diversity metrics: Shannon Index, species richness and inverse Simpson Index. Although richness represents the number of species, the Shannon and inverse Simpson metrics account for both the richness and evenness of the abundances. All other analyses were conducted with the non-rarefied relative abundance table.
The relative abundance of species was subjected to centered log-ratio transformation after addition of a pseudo-value equal to the minimal non-zero value. After transformation, the values that were zero before transformation were replaced with the minimal non-zero transformed value per species, preventing the initial zeros from having different transformed values for the same species. We kept for subsequent analysis the 1,340 species present in >2% of the participants in the three cohorts.
For SCAPIS and MOS data, DNA extraction plate was the technical variable most strongly associated with Shannon diversity and the first 10 principal coordinates of Bray–Curtis dissimilarity. For SIMPLER, aliquoting plate was the most strongly associated technical variable. Therefore, adjustment for these variables was recommended to control for within-cohort batch effects in statistical analyses.
Statistical analyses
Our assumptions about the effects of temporally stable covariates on our exposure and outcomes were displayed on a basic model DAG25 (Supplementary Fig. 3a). The d-separation criteria were applied to the DAG to select covariates for model adjustment. Some potentially time-varying covariates were primarily collected at the time of fecal sampling and thus after the antibiotic exposure. A full-model DAG (Supplementary Fig. 3b) was created to account for comorbidities and medications that may affect the gut microbiome. Here, we included BMI, the Charlson Comorbidity Index, polypharmacy and medication use. The Charlson Comorbidity Index includes the diagnosis of diabetes, cancer and rheumatologic, cardiovascular, liver and renal diseases28. The index was derived from extracts from the National Patient Register27 since 1970 in SCAPIS and 1967 in SIMPLER. In MOS, the index was constructed using extracts from the National Inpatient Register since 1997 and from the Outpatient Register in the Region Skåne in 1997–2000. Because non-complicated type 2 diabetes is primarily treated in primary care centers and not included in the National Patient Register, self-reported diabetes was also used in SCAPIS and MOS and metformin use (ATC A10BA02) based on NPDR in SIMPLER. Polypharmacy in SCAPIS and SIMPLER was defined based on the NPDR as the dispensed prescription of ≥5 medications for regular use. A medication was considered to be in regular use if it had been dispensed ≥3 times in the last 12 months. Medications in Sweden are typically dispensed for periods of three months. In MOS, polypharmacy was based on self-reported use of ≥5 medications in the latest week, as previously described29.
The basic model included age, sex, education, smoking and country of birth. Test-site-specific analysis plates were also included to account for technical variability. The full model additionally included BMI, polypharmacy, the Charlson Comorbidity Index and use of PPIs (ATC: A02BC), metformin, SSRIs (N06AB), statins (C10AA), beta-blockers (C07AB) and/or antipsychotics (N05A) within 1 year before fecal sampling.
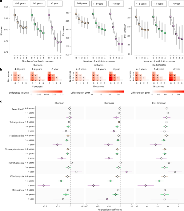
For the multivariable regression models, microbiome species diversity metrics and the abundance of each species were modeled individually as the dependent variable. The number of courses of each antibiotic class in the three periods (<1 year, 1–4 years, 4–8 years) before fecal sample collection were included as independent variables in the same model:
$$\begin{array}{ll}{\mathrm{diversity}\,\mathrm{or}\,\mathrm{species}}_{\mathrm{clr}} & ={\mathrm{abx}1}_{4-8{\rm{y}}}+{\mathrm{abx}1}_{1-4{\rm{y}}}+\mathrm{abx}{1}_{ < 1{\rm{y}}}\\ & +{\mathrm{abx}2}_{4-8{\rm{y}}}+\ldots +{\mathrm{abx}11}_{ < 1{\rm{y}}}+\mathrm{covariates}\end{array}$$
where abx1–abx11 are the number of courses of the 11 antibiotic classes, diversity is the gut microbiome species diversity, and speciesclr is the centered log-ratio–transformed species abundance. The data from each cohort were analyzed separately and then subjected to inverse-variance weighted fixed-effects meta-analyses (R package metafor v.4.4.0). Linear regression models were used for SCAPIS and SIMPLER; linear mixed-effects models (R package lmerTest v.3.1.3) with family as a random intercept were used for MOS because this study had a family-based recruitment of participants. The generalized variance inflation factor (R package car v.3.1.2) was calculated to determine whether collinearity affected models.
To estimate the marginal mean of the gut microbiome species diversity associated with each additional antibiotic course within each period, we counted the number of prescriptions for all antibiotics in each period and modeled them as independent variables using restricted cubic splines with three knots and adjusted for the full-model covariates. The estimated marginal means (EMMs) were weighted-averaged across levels of categorical variables, and continuous variables were set to their mean. Pairwise comparisons of the EMMs between different numbers of antibiotic courses were made using the function ‘pairs’ from the R package emmeans (v.1.8.8).
All statistical analyses used two-sided P values. Multiple testing was accounted for using the Benjamini–Hochberg method69; an FDR of 5% (q-value < 0.05) was considered significant. For antibiotic–species associations that were significant in the full-model meta-analysis (q-value < 0.05) and showed heterogeneity (Cochran’s Q P value < 0.05), we assessed whether any single individual influenced the result. Within each cohort, we reran the linear regression and calculated dfbetas for the antibiotic exposure with a q-value < 0.05. The observation with the highest dfbeta in each cohort was removed, the models were refitted, and the cohort-specific estimates were meta-analyzed again. If the updated meta-analysis had a P -value > 0.05, the original association was considered non-robust and discarded.
In the main analyses, participants were excluded if they had used antibiotics within 30 days prior to the test center visit. To assess the robustness of this criterion, we conducted sensitivity analyses by repeating the analyses using different exclusion periods: no exclusion for recent antibiotic use, and exclusions for antibiotic use within 6 months or 12 months before fecal sampling.
To assess whether our full model sufficiently controlled for confounders, we used as a negative control exposure the association between antibiotic use in the year after fecal sampling and the gut microbiome species diversity, either adjusting for antibiotic use before the sampling or restricting to participants with no antibiotic use in the 8 years before the sampling. We excluded 1,463 participants in SCAPIS for whom register data were unavailable for the year after fecal sampling. We performed two additional sensitivity analyses in SCAPIS and in SIMPLER because data about hospitalization from the National Patient Register were available. In the first, participants who had been hospitalized for a condition likely to be treated with antibiotics (Supplementary Table 15) were excluded. In the second, participants who had been hospitalized for any reason in the previous 8 years were excluded.
We explored potential sex and age differences by conducting stratified analyses for visualization and fitting interaction terms for inference. In the age-stratified analysis, participants were grouped into ≤55 and >55 years at fecal sampling. All SIMPLER participants were >55 years; thus, all participants from this cohort were included in the older stratum. When ≤5 individuals within a stratum of a cohort were exposed to a given antibiotic in a specific period, that antibiotic-period term was excluded from the model for that stratum of the cohort. This occurred especially in MOS for sulfamethoxazole-trimethoprim, amoxicillin-clavulanic acid, macrolides and nitrofurantoin in men. As in the main analyses, the regression models were fitted separately in each cohort, and the resulting estimates were meta-analyzed. For each antibiotic, we conducted a series of regression models including age or sex interactions with the three antibiotic-period variables. We then applied the likelihood-ratio test comparing models with and without the interaction terms. The likelihood-ratio test P values from the three cohorts were meta-analyzed using Fisher’s method. A significant meta-analyzed P value after multiple testing correction was interpreted as evidence of interaction. Age was modeled as a continuous variable to allow the inclusion of SIMPLER in this analysis. For the sex interaction, >5 men and >5 women within a cohort had to be exposed to the antibiotic in all three periods for the antibiotic to be evaluated in that cohort. In the age interaction analyses, >10 individuals in the cohort had to be exposed to the antibiotic in all three periods.
To explore the link between species and cardiometabolic markers, we used data from the largest cohort, SCAPIS. The cardiometabolic markers were BMI, WHR, systolic blood pressure, serum TG, non-high-density lipoprotein cholesterol, HbA1c and high-sensitivity CRP. Partial Spearman correlations (R package ppcor v.1.1) were estimated between the markers and the species relative abundances, adjusting for age, sex, country of birth, education, smoking, site-specific analysis plate and BMI (except when BMI was the marker of interest). The 743 individuals with diabetes were removed, given the strong link of this condition to gut microbiome and cardiometabolic disease.
Functional regression model
A functional regression model with scalar response was implemented using the fda (v6.1.4) and fda.usc (v.2.1.0) R packages and using monthly resolution of antibiotic exposure. For each month before fecal sampling, participants were categorized as users or non-users of each antibiotic class in that month. In a conventional standard linear regression model, this would produce unstable estimates due to the large number of predictor variables. However, the functional regression model uses the high correlation between temporally adjacent regression coefficients by fitting a cubic spline. Models were fitted for each of the three cohorts separately, using the same covariates as in our full-model analysis. The antibiotic classes cephalosporins, macrolides, amoxicillin-clavulanic acid, sulfamethoxazole-trimethoprim and nitrofurantoin were combined into a single class to increase the model stability as they occurred infrequently in the data. Pointwise standard errors for each monthly estimate were estimated using bootstrap. Finally, the estimates and standard errors of each month were combined using a fixed-effects meta-analysis. Estimates and 95% confidence intervals (assuming approximate normality of estimates due to the central limit theorem) were plotted for each class of antibiotics.
All analyses used R version 4.3.2. Because the number of missing data was small, a complete case analysis was performed (Extended Data Fig. 1).
Associations with CRC and IBD
We identified species associated with CRC and IBD from two previous case–control studies. Akiyama et al. examined the gut microbiome in 31 patients with Crohn’s disease, 111 with ulcerative colitis and 540 controls from the Japanese 4D cohort48. Fecal samples were analyzed by shotgun metagenomic sequencing and taxonomically profiled with mOTUs v3.0.1. Associations between IBD and microbial species were assessed using regression models adjusted for age, sex and BMI. Piccinno et al. investigated CRC by integrating data from 18 studies comprising 1,472 CRC cases and 1,568 controls14. Samples were profiled with MetaPhlAn 4, and species associations were tested with regression models adjusted for the same covariates. For comparison with our results, we included only taxa with species-level annotation. In total, 65 CRC- and 56 IBD-associated taxa were identified, of which 37 (CRC) and 39 (IBD), representing 59 unique taxa, could be mapped to species or subspecies present in our study.
Ethics committee approval
Ethical approval was obtained from the Swedish Ethical Review Authority (DNR 2018-315 B and amendments 2020-06597 and 2022-06460-02, DNR 2012-594 and amendments 2017-768 and 2020-05611, DNR 2022-06137-01 and amendment DNR 2023-04785-02). All participants in the three cohorts provided written informed consent.
Reporting summary
Further information on research design is available in the Nature Portfolio Reporting Summary linked to this article.
